반응형
1. 각 집을 그래프의 정점으로 생각한다.
2. 어떤 집을 시작점으로 DFS/BFS를 하면 해당 집이 속하는 단지 내의 모든 집을 방문할 수 있다.
3. 따라서 DFS/BFS의 호출 횟수가 곧 단지의 개수이고,
4. DFS/BFS를 돌면서 방문한 정점의 수가 한 단지 내에 속한 집의 수이다.
1. 각 집을 그래프의 정점으로 생각한다.
0인 곳은 갈 수 없으므로 무시하고, 1인 곳을 정점이라고 생각한다.

2. 어떤 집을 시작점으로 DFS/BFS를 하면 해당 집이 속하는 단지 내의 모든 집을 방문할 수 있다.
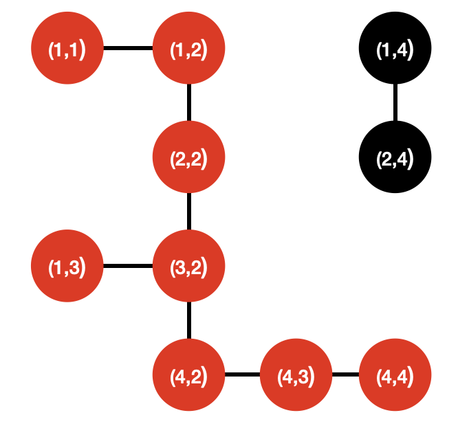
(1, 1)을 시작점으로 그래프를 탐색해주면, 해당 단지 내의 모든 집을 방문할 수 있다. 탐색 방법은 DFS/BFS를 쓰면 된다. 이때 연결되지 않은 (1,4)와 (2,4)가 속한 단지는 방문을 하지 못한다.

3. 따라서 DFS/BFS의 호출횟수가 곧 단지의 개수이고,
모든 집을 차례로 확인하면서 아직 방문하지 않은 곳이면, 그 집을 시작점으로 DFS/BFS를 해준다. 그럼 그 집이 속한 단지 내 모든 집을 방문할 수 있다. 따라서 DFS/BFS는 총단지의 수만큼 호출될 것이다. 위의 그림에서 (1,4)는 아직 방문하지 않았으므로 (1,4)를 시작점으로 DFS/BFS를 해준다. 두 번째 호출이므로 2번째 단지가 되는 것이다.

4. DFS/BFS를 돌면서 방문한 정점의 수가 한 단지 내에 속한 집의 수이다.
단지의 수 뿐만아니라 각 단지 내에 속한 집의 수들도 출력해야 하므로, DFS/BFS를 돌 때 방문한 정점의 수도 기록해두어야 한다.
import Foundation
var visit = Array(repeating: Array(repeating: false, count: 27), count: 27)
var map = Array(repeating: Array(repeating: 0, count: 27), count: 27)
var N = 0
var depth = 0
typealias Adjacent = (dr: Int, dc: Int)
func DFS(row: Int, col: Int) {
depth += 1 // 단지에 속하는 집의 수 기록
visit[row][col] = true
let adjacents: [Adjacent] = [(1, 0), (-1, 0), (0, 1), (0, -1)]
for adj in adjacents {
let adjRow = row + adj.dr
let adjCol = col + adj.dc
if !visit[adjRow][adjCol] && map[adjRow][adjCol] == 1 {
DFS(row: adjRow, col: adjCol)
}
}
}
func countCC() -> [Int] {
var ret = [Int]()
for row in 1...N {
for col in 1...N {
if !visit[row][col] && map[row][col] == 1 {
DFS(row: row, col: col) // DFS 호출 횟수 = 단지 개수
ret.append(depth)
depth = 0
}
}
}
return ret.sorted()
}
func solution() {
N = Int(readLine()!)!
for i in 1...N {
let row = readLine()!
row.enumerated().forEach {
map[i][$0 + 1] = Int(String($1))!
}
}
let countingResult = countCC()
var result = ""
result.write("\(countingResult.count)\n")
countingResult.forEach{ result.write("\($0)\n") }
print(result)
}
solution()
반응형
'Problem Solving > BOJ' 카테고리의 다른 글
| 백준 10026번 적록색약 - 스위프트(Swift) 풀이 (0) | 2022.01.18 |
|---|---|
| 백준 5430번 AC - 스위프트(Swift) 풀이 + 그림 설명 (0) | 2022.01.18 |
| 백준 1676번 팩토리얼 0의 개수 - 스위프트(Swift) 풀이 (0) | 2022.01.17 |
| 백준 2178번 미로 탐색 - 스위프트(Swift) 풀이 + 그림 설명 (0) | 2022.01.16 |
| 백준 2630번 색종이 만들기 - 스위프트(Swift) 풀이 + 그림 설명 (0) | 2022.01.16 |
댓글