반응형
1. 다익스트라를 사용하여 최단거리를 구한다.
2. 다익스트라 과정에서 마지막으로 이용한 간선의 가중치 w를 저장해 두고 더 큰 가중치의 간선만 사용하도록 한다.
3. 같은 노드에 도착하더라도 w에 따라 이용할 수 있는 다음 간선이 달라지므로 dist 배열은 dist[node][w]의 형태로 운영한다.
1. 다익스트라를 사용하여 최단거리를 구한다.
다익스트라 알고리즘을 사용하여 두 노드 사이의 최단거리를 구할 수 있다.
2. 다익스트라 과정에서 마지막으로 이용한 간선의 가중치 w를 저장해두고 더 큰 가중치의 간선만 사용하도록 한다.
단, 문제에서 주어진 조건에 따라 경로 내 간선의 가중치는 오름차순이 되어야 한다. 따라서 다익스트라 과정에서 이 조건을 만족할 수 있도록 마지막으로 이용한 간선의 가중치 w를 우선순위 큐 노드에 함께 저장해 두고, 다음 간선은 w 초과인 간선만 사용하도록 한다.
3. 같은 노드에 도착하더라도 w에 따라 이용할 수 있는 다음 간선이 달라지므로 dist 배열은 dist[node][w]의 형태로 운영한다.
같은 idx번 노드에 도착하더라도 마지막으로 이용한 간선의 가중치 w에 따라 다음에 이용할 수 있는 간선이 달라질 수 있기 때문에 dist 배열을 일반적인 다익스트라처럼 운영해서는 안된다.
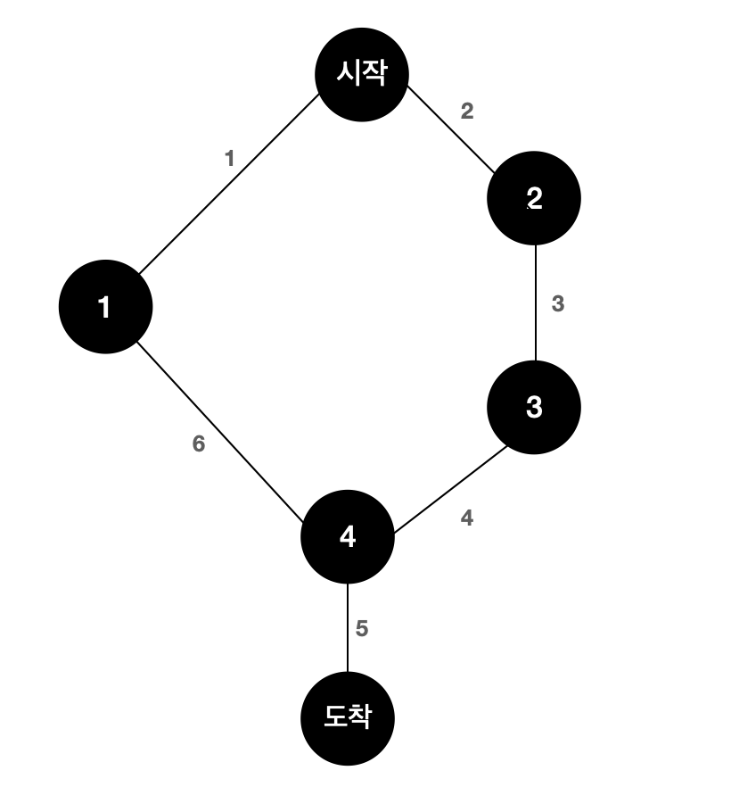
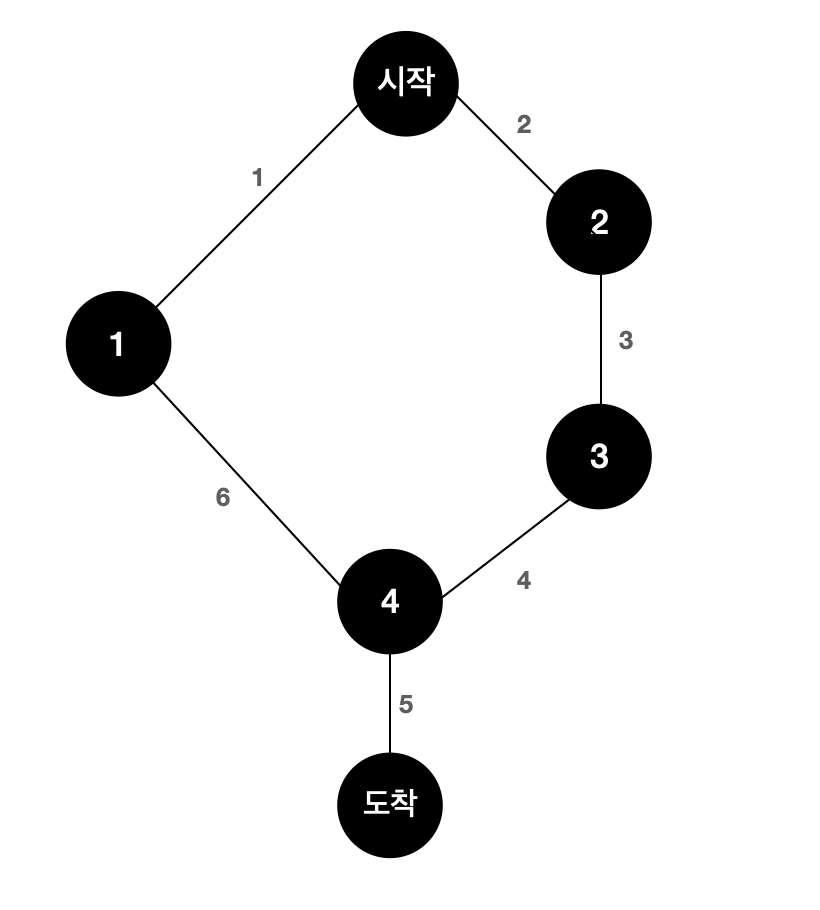
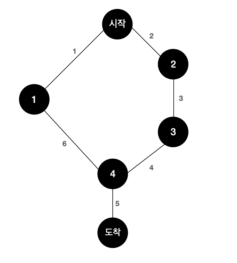
아래와 같은 상황이 그 예이다. 시작 노드에서 4번 노드로 가는 최단 경로는 시작-1-4를 거쳐 총 7의 거리로 이동하는 방법이다. 하지만 이렇게 이동하면 4번 노드에서 도착 노드로 갈 수 없다. 시작-2-3-4로 이동해야 도착 노드로 갈 수 있다.

따라서 "dist[N][w]: 가중치가 w인 간선을 타고 N번 노드에 도착하는 최단 거리"의 형태로 dist를 관리해준다. 이때 w의 범위가 10^7이므로 map을 사용하여 해당 노드에 연결된 간선의 가중치만 관리해주면 된다.
반응형
#include <iostream>
#include <vector>
#include <algorithm>
#include <queue>
#include <map>
using namespace std;
typedef long long ll;
typedef pair<ll, ll> pll;
typedef pair<ll, pll> Node; // {d, {w, curr}}
const ll INF = 1e12+1;
int N, M, S, E;
vector<pll> adjs[50001];
map<int, ll> dist[50001]; // dist[N][w] = d
ll dijkstra() {
priority_queue<Node, vector<Node>, greater<Node>> pq;
ll ret = INF;
dist[S][0] = 0;
pq.push({0, {0, S}});
while (!pq.empty()) {
ll d = pq.top().first;
ll w = pq.top().second.first;
ll curr = pq.top().second.second;
pq.pop();
if (curr == E) ret = min(ret, d);
if (d > dist[curr][w]) continue;
for (auto adj: adjs[curr]) {
ll next = adj.first;
ll nw = adj.second;
if (nw <= w) continue;
if (d+nw > dist[next][nw]) continue;
dist[next][nw] = d+nw;
pq.push({d+nw, {nw, next}});
}
}
return ret;
}
int main()
{
ios_base::sync_with_stdio(false);
cin.tie(NULL); cout.tie(NULL);
cin >> N >> M;
for (int i=0; i<M; i++) {
int s, e, w;
cin >> s >> e >> w;
adjs[s].push_back({e, w});
adjs[e].push_back({s, w});
dist[s][w] = INF;
dist[e][w] = INF;
}
cin >> S >> E;
ll ans = dijkstra();
if (ans == INF) cout << "DIGESTA";
else cout << ans;
return 0;
}
반응형
'Problem Solving > BOJ' 카테고리의 다른 글
| 백준 1963번 소수 경로 - C++ 풀이 (0) | 2022.08.20 |
|---|---|
| 백준 17142번 연구소 3 - C++ 풀이 (0) | 2022.08.19 |
| 백준 13913번 숨바꼭질 4 - C++ 풀이 (0) | 2022.08.17 |
| 백준 15685번 드래곤 커브 - C++ 풀이 (0) | 2022.08.14 |
| 백준 1939번 중량제한 - C++ 풀이 (0) | 2022.08.12 |
댓글